Politics & Government

New NC map would ‘lock in’ another Republican district, Duke math professor says

Key Takeaways
Key Takeaways

AI-generated summary reviewed by our newsroom.

Read our AI Policy.


  • Professor's analysis finds new GOP map locks in 11-3 Republican advantage.
  • Simulations show Democrats win only three seats under varied statewide vote shares.
  • Map packs Democrats into three districts and keeps 11 districts near 40–45% Democratic.

Is the new Trump-backed congressional map proposed by the GOP-led North Carolina legislature a partisan gerrymander? Would election results under the map shift depending on the will of the people?

Those are questions Duke math professor Jonathan Mattingly sought to answer in a new analysis published Sunday.

Three days earlier, Republicans unveiled another mid-decade congressional map proposal that would favor their party. It expands the boundaries of the 1st Congressional District, currently held by Democrat Don Davis, by pulling in territory from the 3rd Congressional District, represented by Republican Greg Murphy. The 1st district is the only one considered a swing district, meaning it’s not a guaranteed win for either party.

At President Donald Trump’s request, North Carolina Republicans proposed a new congressional map likely to pick up another seat for the GOP.
At President Donald Trump’s request, North Carolina Republicans proposed a new congressional map likely to pick up another seat for the GOP. Provided

Lawmakers returned to Raleigh on Monday and are expected to pass the proposed map, after failing to pass a full state budget before the end of the fiscal year in June or approve during its session last month additional funding to avoid Medicaid cuts.

After analyzing the new proposal, Mattingly found the new map would not shift with the will of voters.

“The previous map was not very responsive to changing public sentiment. But there was one district that was in doubt, and this one (new map) has largely removed that district,” he said.

“It’s very effectively shifted one district from the Democrats to the Republicans” and “seems to lock in, 11-3, no matter what happens.”

North Carolina’s congressional map was redrawn by the GOP-led legislature in 2023 to favor Republicans, electing 10 Republicans and four Democrats last year. That map replaced one drawn by court-appointed experts for the 2022 elections to replace maps drawn after the 2020 Census and found by the courts to be unconstitutional partisan gerrymanders in a case known as Harper v. Hall.

The map drawn after court intervention produced a 7–7 split in the 2022 elections. But the North Carolina Supreme Court gained a Republican majority that year, and the new court then ruled that it had no jurisdiction over claims of partisan gerrymandering. People can still sue for racial gerrymandering — though a federal judge recently rejected one such case, and the U.S. Supreme Court is considering a case that would undermine that.

A News & Observer analysis found the 2023 maps showed strong evidence of partisan gerrymandering favoring the GOP. The analysis compared them with tens of thousands of maps created by Duke mathematicians using vote counts from past elections.

The Duke team, led by Mattingly, confirmed the N&O findings, and in a blog post said their own analysis found the 2023 maps were more gerrymandered than those Republicans drew in 2021.

New analysis details

Now, Mattingly — who has been working since 2013 to quantify gerrymandering — has analyzed the new map alongside Greg Herschlag, an associate research professor of mathematics at Duke.

Mattingly has submitted expert reports in several major court cases that have shaped North Carolina’s redistricting battles — including before the U.S. Supreme Court in Rucho v. Common Cause and in Harper v. Hall.

The new analysis and a blog post shows the latest map would largely keep the number of seats for Democrats at three under a variety of scenarios for how North Carolinians vote. Even if the statewide vote shifts significantly by party, the same number of Republicans, 11, would win.

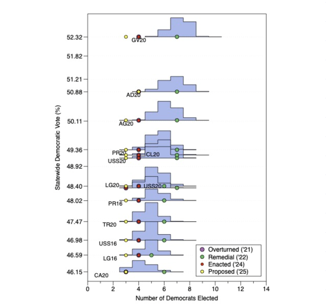
A Duke University analysis compares how many Democrats would be elected under different North Carolina congressional maps using past statewide election results.
A Duke University analysis compares how many Democrats would be elected under different North Carolina congressional maps using past statewide election results. Jonathan Mattingly and Greg Herschlag, Duke University

That pattern appears in a graphic from the new analysis, which looks at several statewide elections from 2016 and 2020, including races for governor, auditor and others, where the Democratic vote share ranged from just over 46% to more than 52%. The graphic shows how many seats Democrats and Republicans would likely win under different simulated map scenarios. It indicates that under the newly proposed map, Democrats would win only three seats across more than 10 elections tested, except in one case — the 2020 auditor’s race.

“When the electorate changes its mind dramatically — when it switches from 46% statewide to a 52% ... you’d like to have a map with a number of districts that would change who controls them,” Mattingly said.

The court-approved map used in 2022 — also plotted in the graphic — shifted seats more when voters’ opinions changed.

Researchers also used past election results to illustrate how the new map either packs voters into a district or splits them across district lines to dilute their influence.

“The three most Democratic districts have way more Democrats than they should. So they packed a tremendous number of Democrats in those three districts,” he said.

A Duke University analysis using data from the 2020 presidential election and another from the 2022 U.S. Senate race in North Carolina, illustrate how the the new map either packs voters into a district or splits them across district lines to dilute their influence.
A Duke University analysis using data from the 2020 presidential election and another from the 2022 U.S. Senate race in North Carolina, illustrate how the the new map either packs voters into a district or splits them across district lines to dilute their influence. Jonathan Mattingly and Greg Herschlag, Duke University

Democratic voters are heavily concentrated in a few districts, while the rest favor Republicans. The new map proposal keeps 11 districts between about 40% and 45% Democratic, while the remaining three range from roughly 70% to 75% Democratic.

Comparing the new map to those used in recent elections, Duke researchers said in their blog post, “We find it to be the more politically gerrymandered map of any of those considered.”

This story was originally published October 21, 2025 at 6:00 AM.

Related Stories from Raleigh News & Observer
Luciana Perez Uribe Guinassi
The News & Observer
Luciana Perez Uribe Guinassi is a politics reporter for the News & Observer. She reports on health care, including mental health and Medicaid expansion, hurricane recovery efforts and lobbying. Luciana previously worked as a Roy W. Howard Fellow at Searchlight New Mexico, an investigative news organization.
Get unlimited digital access
#ReadLocal

Try 1 month for $1

CLAIM OFFER